50.某藥在體內的動態變化遵循一室模式及一階次排除,已知半衰期為 3 小時,若每3小時靜脈注射一次,第 7 及 第 8 次給藥間隔所獲得曲線下面積為 250 μg.h/mL,當達穩定狀態後,每次給藥前的波谷濃度(
) 為若干μg/mL?(
)
(A)41.7
(B)57.8
(C)83.3
(D)115.5
答案:登入後查看
統計: A(361), B(2925), C(1021), D(450), E(0) #3065615
統計: A(361), B(2925), C(1021), D(450), E(0) #3065615
詳解 (共 10 筆)
#5720806
半衰期=給藥間隔,則Cmax=2Cp0,Cmin=Cp0
達到99%穩定狀態需要6.64半衰期,所以第7次給藥時已達穩定狀態(因半衰期=給藥間隔)
161
3
#5825429
76.某抗生素在體內之動態遵循線性藥物動力學,當以靜脈快速注射100 mg於人體後之血中濃度(Cp)經時關係如下表所示。若處方為每4 h靜脈快速注射給予此藥100 mg,則到達穩定狀態時最高血中濃度為多少(mg/L)?
(A) 15.0
(B) 18.75
(C) 20.0
(D) 26.63
ㅤㅤ
答案:C
難度:適中
17
3
#5889024
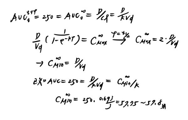
我想可以用上一題的加成原理來試試看:由於7、8次投藥後的AUC都不變,就代表已經進入穩定狀態。而這時的AUC = 單一次投與劑量的AUC = Dose / CL。
因此,將250 = 100 / (Vd * 0.693/3),即可算出Vd;
之後再利用Cmin in steady state = (Dose/Vd) * [1 / 1-e^(-kt)] * e^(-kt) 就可以得到答案!
因此,將250 = 100 / (Vd * 0.693/3),即可算出Vd;
之後再利用Cmin in steady state = (Dose/Vd) * [1 / 1-e^(-kt)] * e^(-kt) 就可以得到答案!
5
0
#6015048
梯形公式速解

2
0
#6007045

1
0