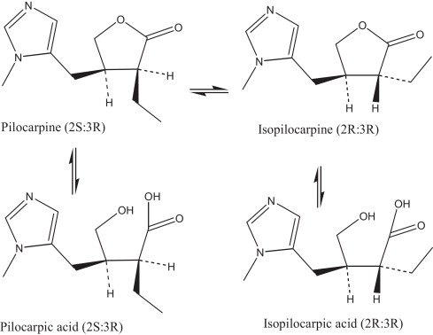
64.下列有關pilocarpine之敘述,何者錯誤?
(A)結構中含二個手性中心(chiral center)
(B)結構含imidazole環
(C)於酸性條件下進行差向異構化(epimerization)形成isopilocarpine
(D)可做成凝膠(gel)使用,但須貯於冷藏器(refrigerator)中
答案:登入後查看
統計: A(1685), B(836), C(4575), D(1173), E(0) #1528035
統計: A(1685), B(836), C(4575), D(1173), E(0) #1528035
詳解 (共 9 筆)
#2355252
檢(鹼)查(差)
87
2
#1671926
pilocarpine鹼性溶液變為 isopilocarpine 是因為C2H5-epimerization
56
1
#2352314
附個...

47
4
#3467314

8
0