67.下列何者是quinidine之不純物,具有顯著毒性?
(A)dihydroquinidine
(B)oxydihydroquinidine
(C)O-demethylquinidine
(D)quinoline

答案:登入後查看
統計: A(3183), B(1876), C(1303), D(1029), E(0) #1738148

詳解 (共 5 筆)

#2845383

最佳解的翻譯如下:

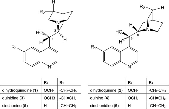
此外在 quinidine製劑最常見的汙染物為dihydroquinidine,此汙染物源自於quinuclidine C3 vinyl 基團還原成乙基基團而產生,也導致此汙染物活性的產生。雖然dihydroquinidine quinidine的藥物靜力學及藥物動力學特性相似,但是卻更具有毒性及抗心律不整的效力。

1-s2.0-S0021967318304710-gr1.jpg 

請自行比較dihydroquinidine跟quinidine的R2

296
1
#3761430
dihydroquinidine=die
會死...所以有毒
86
6
#4834471

Quinidine考點

1. 3R,4S,8R,9S

2.含有quinoline、quinuclidine,且quinuclidine上的N比較鹼

3.代謝產生dihydroquinidine(具有毒性)

4. ADE:金雞納中毒(耳鳴、頭暈、視力障礙、聽力障礙、複視及噁心)


53
0
#2605720
"In addition, a comm...
(共 422 字,隱藏中)
前往觀看
48
6
#4502322
59.下列藥物中,何者同時具有quinu...
(共 157 字,隱藏中)
前往觀看
21
1