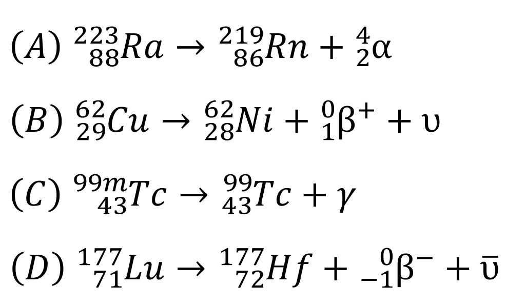
74.下列何種蛻變方式會釋放出微中子?
(A)
(B)
(C)
(D)
答案:登入後查看
統計: A(21), B(189), C(17), D(69), E(0) #3491982
統計: A(21), B(189), C(17), D(69), E(0) #3491982
詳解 (共 1 筆)
#6612448
將衰變的式子寫完,就能知道四個選項分別為哪一種衰變模式:

β-衰變時,除了會從原子核內放出電子(β-),同時還會放出反微中子(
)
β+衰變時,除了會從原子核內放出正電子(β+),同時還會放出微中子(
)
7
0