阿摩線上測驗
登入
首頁
>
專技 - 藥劑學(包括生物藥劑學)
>
112年 - 112-1 專技高考_藥師(一):藥劑學與生物藥劑學#113163
> 試題詳解
試題詳解
試卷:
112年 - 112-1 專技高考_藥師(一):藥劑學與生物藥劑學#113163 |
科目:
專技 - 藥劑學(包括生物藥劑學)
試卷資訊
試卷名稱:
112年 - 112-1 專技高考_藥師(一):藥劑學與生物藥劑學#113163
年份:
112年
科目:
專技 - 藥劑學(包括生物藥劑學)
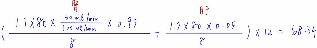
78.某抗生素於腎功能正常病人之維持劑量為1.7 mg/kg Q8H,靜脈注射後 95% 以原型經由腎臟排泄,今有一病人 (體重 80 kg),其 creatinine clearance 為 30 mL/min,若給藥間隔調整為 Q12H,則劑量(mg)應為若干?(假設 normal creatinine clearance = 100 mL/min)
(A)46
(B)68
(C)30
(D)90
正確答案:
登入後查看
詳解 (共 2 筆)
123
B2 · 2023/02/15
推薦的詳解#5722980
未解鎖
(共 1 字,隱藏中)
前往觀看
80
1
桂冠芝麻湯圓
B4 · 2023/07/05
推薦的詳解#5870473
未解鎖
(共 1 字,隱藏中)
前往觀看
10
0
私人筆記 (共 2 筆)
牛乳パン
2024/07/03
私人筆記#6179219
未解鎖
(共 0 字,隱藏中)
前往觀看
6
1
黃色小雞
2023/11/26
私人筆記#5603034
未解鎖
(共 0 字,隱藏中)
前往觀看
6
1