9 有一長度為 L,直徑為 d 之圓桿,彈性模數為 E,波松比(Poisson’s ratio)為 v,受到軸向拉 力 P,下列敘述何者正確?
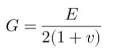
(A)剪力彈性模數 G = E/(1+2v)
(B)直徑的變化量為 2vPd/EA
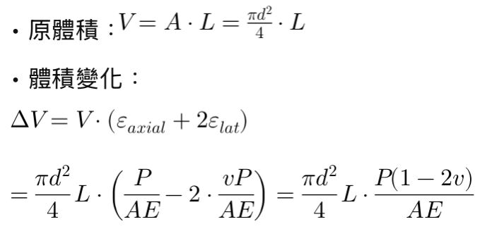
(C)體積改變量為(π/4d2 LP(1-2v))/AE
(D)體積減少
答案:登入後查看
統計: A(133), B(132), C(369), D(44), E(0) #3025493
統計: A(133), B(132), C(369), D(44), E(0) #3025493
詳解 (共 4 筆)
#5669178
(A) 剪力彈性模數 G = E/(1+2v)
G = E/2(1+v)
(B) 直徑的變化量為 2vPd/EA
(C) 體積改變量為(π/4d2 LP(1-2v))/AE
(D) 體積減少(增加)
12
11
#6451909
(A)選項錯誤,正確公式如下
ㅤㅤ

(B) 選項錯誤,答案前面的「2」不對

ㅤㅤ
(C) 選項正確,如下
ㅤㅤ

ㅤㅤ
ㅤㅤ
(D) 選項錯誤
(D) 選項錯誤
ㅤㅤ
因為金屬的 v 小於 0.5,(1-2v)就會大於0,從 C 答案列出的公式可以知道,體積會增加。
9
0