阿摩線上測驗 登入

試題詳解

試卷:110年 - 110 臺北市市立普通型高級中等學校正式教師聯合甄選:物理科#98677 | 科目:教甄◆物理科專業

試卷資訊

試卷名稱:110年 - 110 臺北市市立普通型高級中等學校正式教師聯合甄選:物理科#98677

年份:110年

科目:教甄◆物理科專業

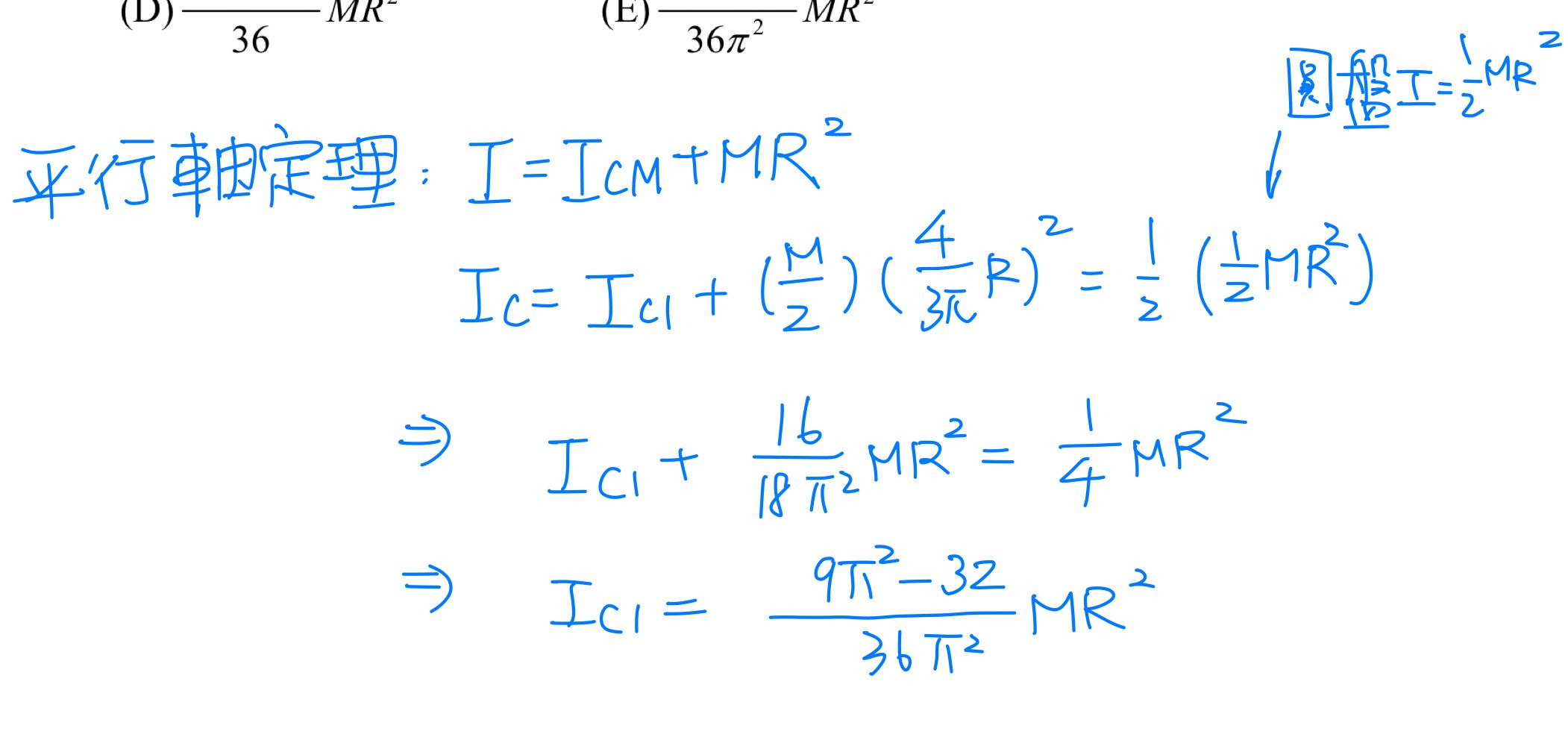
9. 半徑為R、質量為M的均勻圓盤以D點鉛直懸吊,D點與圓 心C的距離為d,如左圖所示,其小角度振盪的週期為6098d778abcb9.jpg,其中g為重力加速度, 繞D點的轉動慣量為6098d78d5f690.jpg。當此圓盤被 裁去1/2而形成一個半圓,如右圖所 示,C1點為此半圓盤的質量中心, 且C1和C之間的距離為6098d7ae78efa.jpg,則繞 C1點的轉動慣量為何?
6098d7cc54b65.jpg6098d7e6d51bc.jpg
(A)MR2
(B)3MR2
(C)6098d81006124.jpg MR2
(D)6098d82f6d5f8.jpgMR2 
(E)6098d83dd111f.jpgMR2

正確答案:登入後查看

詳解 (共 1 筆)

推薦的詳解#5777720
未解鎖


(共 1 字,隱藏中)
前往觀看
1
0