阿摩線上測驗
登入
首頁
>
高中指考◆物理
>
102年 - 102 大學入學考試中心_指定科目考試:物理#17418
> 試題詳解
9. 第一次落地碰撞期間,小球在鉛直方向所受到的平均作用力之量值為何?
答案:
登入後查看
統計:
A(2), B(1), C(2), D(2), E(4) #638099
詳解 (共 2 筆)
ALAN0307
B2 · 2022/03/06
#5368309
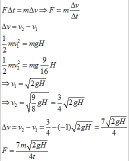
題目問說鉛直方向的平均作用力 那套用牛二...
(共 438 字,隱藏中)
前往觀看
2
0
體育行政今年上榜!
B1 · 2015/06/30
#1106461
0
0
相關試題
1. 下列的現象或應用,何者的主因是波的繞射性質造成的? (A) 琴弦振動產生駐波 (B) 波浪進入淺水區波速變慢 (C) 以 X 射線拍攝胸腔照片 (D) 以 X 射線觀察晶體結構 (E) 陰極射線實驗中螢幕的亮點位置會隨外加磁場改變
#638091
2. 一彈性繩上的小振幅週期波由左向右方傳播,某一瞬間其振動位移 y 與位置 x 的關係如圖 1 所 示,繩上質點 P 恰在 x 軸上,則質點 P 在這一瞬間的運動方向最接近下列何者? (A) ↑ (向上) (B) ↓ (向下) (C) ← (向左) (D) → (向右) (E) 沒有確定的方向,因其速度為零
#638092
3. 某樂器以開管空氣柱原理發聲,若其基音頻率為390 Hz,則其對應的空氣柱長度約為幾公分? 假設已知音速為340 m/s。 (A) 44 cm (B) 58 cm (C) 66 cm (D) 80 cm (E) 88 cm
#638093
4. 下列關於體積固定之密閉容器內理想氣體的性質敘述,何者正確? (A) 壓力和分子平均動量的平方成正比 (B) 壓力和所有氣體分子之移動動能的和成正比 (C) 溫度升高時,每一個氣體分子的動能都會增加 (D) 溫度下降時,密閉容器內理想氣體的壓力升高 (E) 氣體分子和容器壁的碰撞是否為彈性碰撞,並不會影響壓力的量值
#638094
5. 密閉汽缸內定量理想氣體原來的壓力為2大氣壓,當汽缸的體積被活塞從103 m壓縮至53 m,同時把汽缸內氣體的溫度從313oC降溫至20oC,則熱平衡後汽缸內氣體的壓力最接近下列何者? (A) 8大氣壓 (B) 4大氣壓 (C) 2大氣壓 (D) 1大氣壓 (E) 0.25大氣壓
#638095
6. 雷射光以一入射角自空氣入射雙層薄膜再進入空氣,其中各層薄膜厚度皆為 d 而折射率各為 n1及 n2,光路徑如圖 2 所示。今以折射率為 n 且厚度為 2d 的薄膜取代原雙層薄膜,若光線射入 與射出的位置、角度皆與圖 2 相同,則 n1、n2與 n 的大小關係為下列何者? (A) n > n1 > n2 (B) n1> n2> n (C) n > n2 > n1 (D) n2 > n > n1 (E) n1> n > n2
#638096
7. 某生使用波長為 λ 的光源進行雙狹縫干涉實驗,若兩狹縫間的距離 d = 9λ,則第 5 暗紋所在位置 至雙狹縫中點之連線與中央線的夾角約為幾度? (A) 30° (B) 45° (C) 53° (D) 60° (E) 75°
#638097
8. 一質點在一直線上運動,圖 3 為此質點所受的外力與位置的關係,質點的起始位置為x= 0,起始速度沿著+x 方向,則此質點在何處的速率最大? (A)甲 (B) 乙 (C) 丙 (D) 丁 (E)戊
#638098
10.小球第一次落地點到第二次落地點的水平距離為何?
#638100
11.已知火星的平均半徑約為地球的 0.5 倍,火星表面的重力加速度約為地球的 0.4 倍,則火星表面 上的脫離速率(不計阻力下,使物體可脫離其重力場所需的最小初速率)約為地球上的多少倍?
#638101
相關試卷
114年 - 114 大學入學考試中心_分科測驗:物理#131149
2025 年 · #131149
113年 - 113 大學入學考試中心_分科測驗:物理#123140
2024 年 · #123140
112年 - 112 大學入學考試中心_分科測驗:物理#116985
2023 年 · #116985
111年 - 111大學入學考試中心_分科測驗:物理考科#109163
2022 年 · #109163
110年 - 110 大學入學考試中心_指定科目考試:物理#99967
2021 年 · #99967
109年 - 109(補考) 大學入學考試中心_指定科目考試:物理#89671
2020 年 · #89671
109年 - 109 大學入學考試中心_指定科目考試:物理#87859
2020 年 · #87859
108年 - 108 大學入學考試中心_指定科目考試:物理#83600
2019 年 · #83600
107年 - 107 大學入學考試中心_指定科目考試:物理#71798
2018 年 · #71798
106年 - 106 大學入學考試中心_指定科目考試:物理#62713
2017 年 · #62713