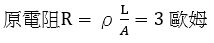
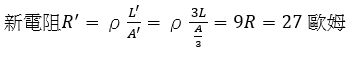
9. 電阻為3歐姆的導線,經拉長至其原長的3倍,設拉長時材料的電阻率與密度均不改變,
試求新導線的電阻為多少歐姆?
(A) 27
(B) 9
(C) 3
(D) 1
答案:登入後查看
統計: A(685), B(315), C(212), D(32), E(0) #1916371
統計: A(685), B(315), C(212), D(32), E(0) #1916371
詳解 (共 2 筆)
#3135157

(1)同條導體,電阻係數 ρ 維持不變
(2)拉長導體3倍,截面積會縮小3倍,即L'=3L,A'=A/3

30
0