題組內容

五、圖(a)為裝置於曳引機上之加速度計(Accelerometer),此系統之運動 方程式為616fd8eb8092a.jpg 其中 m 為其質量、b 為阻尼係數(Damping coefficient),k 為其彈簧 常數(Spring constant)
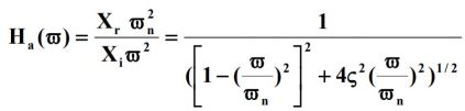
若輸入信號為 xi (t) = Xi sin(ωt) 其中 xr(t)為質塊(Mass)與外殼(Housing)的相對位移,ω 為振動 頻率,而在此線性系統中,xr(t)=Xrsin(ωt+Φ),其中Φ為相位角,ωn 為 系統之自然頻率(Natural frequency),ς 為阻尼比(Damping ratio)。 經過一番導證得到輸出與輸入之關係式如下:
616fd96da8e6f.jpg616fd9a09dfc6.jpg616fd9cd613c8.jpg

(一)請問此加速度計係根據什麼原理來量測加速度?詳細說明之。可參 考圖(a)及(b)。(7 分)