所屬科目:農業機電與控制
一、假設有一植物工廠之環控機電系統之方塊圖如下圖所示,若有一干擾源 N(s)持續影響該環控系統,試問使系統輸出 C(s)降低受干擾訊號 N(s)影 響的控制條件為何?(20 分)
二、在使用感測器進行量測時,常會遭遇雜訊問題而必須藉助濾波器,下列為 一個基本的一階低通濾波器,輸入電壓訊號 vin (t ) ,輸出電壓訊號 vout (t ) 。 然而一般實作上若需使用一階低通濾波器時,很少直接使用如圖所示的 構造。這是因為右側(負載側)的阻抗若變化或不夠大時,濾波器的特 性會改變。為了改善此缺點,我們會加上一個運算放大器。請繪出加上 運算放大器後完整的電路圖,其中 vin (t ) 、 vout (t ) 須標示。假設 C = 1 μF 且 該低通濾波器的截止頻率為 1000 rad/sec,則電阻器的電阻該選多少? (20 分)
四、應變規量測原理為何?使用時如何與下圖之惠斯登電橋(Wheatstone bridge)搭配?(25 分)
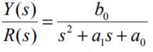
五、考慮一閉迴路控制系統具有下列方塊圖特性,請回答下列問題: 若 R(s) 與 Y (s) 分別為該系統參考輸入訊號 r (t ) 與輸出訊號 y(t ) 之拉氏轉 Y (s) b0 換,且此系統的閉迴路轉移函數經化簡後為 ,則 a1 a0 、 b0 分別為何?若要使該閉迴路的自然無阻尼頻率(亦稱自然頻率, 英文為 Natural Frequency)ωn = 50、阻尼率(亦稱阻尼比,英文為 Damping Ratio) ζ = 0.8 ,則 K P 、 K I 的值應分別設為多少?(20 分)