題組內容
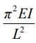
一、已知某桿件兩端為鉸接如圖 1 所示,設桿件的挫屈強度為:
。試問:
(一)在溫度增加或降低時,才會出現挫屈現象?請說明理由。 (10 分)
詳解 (共 1 筆)
詳解
此題條件L上下絞接固定為定值,溫度在長度固定時會產生內應力
N=EAα(△T),故N正比於T,故要達到Pcr溫度要上升