題組內容
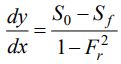
四、若已知一輸送流量 Q 之非水平渠坡的梯形斷面渠道,斷面積為 A,水面寬為 T,底 床高程為 z,渠底縱坡為 S0,水深為 y,其水深變化可以下式表示:
式中,x 表水流行進之距離,Sf表能量坡降,Fr表福祿數(Froude number)。
四、若已知一輸送流量 Q 之非水平渠坡的梯形斷面渠道,斷面積為 A,水面寬為 T,底 床高程為 z,渠底縱坡為 S0,水深為 y,其水深變化可以下式表示:
式中,x 表水流行進之距離,Sf表能量坡降,Fr表福祿數(Froude number)。