阿摩線上測驗
登入
首頁
>
研究所、轉學考(插大)◆自動控制系統
>
110年 - 110 國立臺北科技大學_碩士班招生考試_自動化科技研究所:自動控制#108253
> 申論題
題組內容
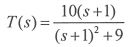
1. Aclosed-loop system with unity feedback has a transfer function
(3) Draw the Bode dingram for the open-loop ap transfer function G(s) roughly, including magnitude and phase vs frequ uency with semilog scale for the frequency axis. (20%)
相關申論題
(b) What is the gain margin? (10%)
#464499
2.Consider the transfer function G with unity feedback. Please sketch the output response in time domain roughly (10%)
#464500
(a) What a are the closed-loop poles and zeros? (2%)
#464501
(b) Sketch the root locus.(15%)
#464502
(c) Find the unit-step responseY(t). (5%)
#464503
(d)Calculate Y(t) at 0, 1,∞ .(3%)
#464504
(a) Please write the equation of motion in state space form. (5%)
#464505
(b) Design an observer (estimator) that reconstructs both states of pendulum given measurements . Assume ω=5rad/s and pick the observer roots to be at s=-10±10j.(10%)
#464506
(c)Write the transfer function of the observer between the measured vale of and the estimated value of (10%)
#464507
(d) Design the state feedback controller K so that the roots lie in s=-4±4j.(10%)
#464508
相關試卷
110年 - 110 國立臺北科技大學_碩士班招生考試_機械工程系機電整合碩士班(甲組):自動控制#108258
110年 · #108258
110年 - 110 國立臺北科技大學_碩士班招生考試_自動化科技研究所:自動控制#108253
110年 · #108253
110年 - 110 國立臺北科技大學_碩士班招生考試_能源與冷凍空調工程系(甲組):自動控制#107593
110年 · #107593
110年 - 110 國立臺灣科技大學_碩士班招生試題_自動化及控制研究所:自動控制系統#103772
110年 · #103772
110年 - 110 國立臺灣大學_碩士班招生考試_生物機電工程學研究所甲、丙組:自動控制#102177
110年 · #102177