阿摩線上測驗 登入

申論題資訊

試卷:111年 - 111 高等考試_三級_水利工程、環境工程、機械工程:流體力學#109767
科目:流體力學
年份:111年
排序:0

題組內容

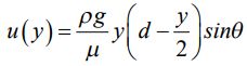
四、一均勻薄層流在傾角為θ之斜坡上往下流動速度如下:
62d9fa657ac11.jpg
式中,y表垂直坡面之座標,d為水流斷面深度,u為沿著坡面流下之速度,g表重力加速度,μ為流體之動力黏滯係數,ρ為流體密度。求: (每小題10分,共20分)

申論題內容

(一)單位寬度之體積流率q