阿摩線上測驗
登入
首頁
>
統計學
>
110年 - 110 高等考試_三級_經建行政、農業行政、交通技術:統計學#102672
> 申論題
申論題
試卷:110年 - 110 高等考試_三級_經建行政、農業行政、交通技術:統計學#102672
科目:統計學
年份:110年
排序:0
申論題資訊
試卷:
110年 - 110 高等考試_三級_經建行政、農業行政、交通技術:統計學#102672
科目:
統計學
年份:
110年
排序:
0
題組內容
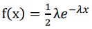
七、令 λ 為固定正常數,且定義如下函數
,對 x≧0;f(x) = λ ,對 x < 0。
申論題內容
(一)若隨機變數 X 的 pdf 為 f(x),令 t 為任意實數,試求 P(X<t)。