題組內容
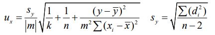
二、銅離子濃度與吸光值之對應數據如列(
(μg/mL); Abs): (0.025; 0.3085)、 (0.050; 0.4426) 、 (0.075; 0.5801) 、 (0.100; 0.7791) ,以 最小平方法得出吸收值 y 與濃度回歸方程式為 y = 6.1972x + 0.1403,若未知濃度之樣品測得三次重複平均吸光值為 0.6367。
,n:回歸數據點數,k:樣品重複次數 自由度 1~6 之 90% 信賴 t 值為:⑴6.314;⑵2.920;⑶2.353;⑷2.132; ⑸2.015;⑹1.943。