阿摩線上測驗
登入
首頁
>
農業機電與控制
>
112年 - 112 高等考試_三級_農業機械:農業機電與控制#115668
> 申論題
題組內容
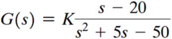
二、考慮一個基本反饋系統(Basic feedback system, BFS),其前向和反饋傳遞函數分別為
以及
。 (每小題10分,共20分)
(一)計算該系統穩定的 K 值範圍。
相關申論題
一、農業自動化系統的工作環境較一般工業界的工廠環境差,控制器外接設備有干擾,或外部負載變動大,可能影響控制器的運作,甚至造成毀損,因此在設計介面電路時需要加入保護功能。假設透過控制器的通用輸入/輸出GPIO(General-purpose input/output)的引腳(PIN),輸出訊號以驅動LED燈亮或滅時,如圖一電路所示,此電路不具保護功能,若外部有突波干擾,可能傷及控制器。試加入一顆NPN電晶體元件於該電路中,重新設計完成一具有保護作用的電路,並繪圖說明何以所設計的電路具有保護功能。(20分)
#494361
(二)試繪製相對應的根軌跡圖(Root locus),並由根軌跡圖中指出此閉迴路系統只要 K 值落在上述範圍內即穩定,範圍之外則不穩定。
#494363
(一)應變計量測應力或應變之原理。
#494364
(二)橋接電路之平衡原理。
#494365
(三)儀表放大器之原理,其與一般放大器有何不同。
#494366
(四)說明此整合電路之整體運作方式。
#494367
(一)導出 Vout 與 Vin 之關係方程式(時域)。並判斷此為積分電路或微分電路?另,要成為積分電路或微分電路有什麼構成條件?(6 分)
#494368
(二)請從頻域的轉移函數判斷此為低通或高通濾波器?其截止頻率為何?(6 分)
#494369
(三)如果改變此電路,將電阻器與電容器互換,請回答上述(一)與(二)兩子題,即⑴導出 Vout 與 Vin 之關係方程式(時域)。並判斷此為積分電路或微分電路?另,要成為積分電路或微分電路有什麼構成條件?⑵從頻域 的轉移函數判斷此為低通或高通濾波器?其截止頻率為何?(8 分)
#494370
(一)請填入並完成表一①~⑧每個 D 型觸發器之輸出代碼 Gi 和相應的編碼轉換器(Code converter)之二進制輸出狀態 Bi。假設輸入電壓 Vin 之範圍介於 0 至 4V。本題之 Vmin 和 Vmax 之電源電壓分別設為 0 V 和 4 V。D 型觸發器的輸出 Gi 經過編碼轉換器轉換為二進制兩位輸出Bi。(14 分)
#494371
相關試卷
114年 - 114 高等考試_三級_農業機械:農業機電與控制#128767
114年 · #128767
113年 - 113 高等考試_三級_農業機械:農業機電與控制#121341
113年 · #121341
112年 - 112 高等考試_三級_農業機械:農業機電與控制#115668
112年 · #115668
110年 - 110 高等考試_三級_農業機械:農業機電與控制#102804
110年 · #102804
109年 - 109 高等考試_三級_農業機械:農業機電與控制#88746
109年 · #88746
108年 - 108 高等考試_三級_農業機械:農業機電與控制#77750
108年 · #77750
107年 - 107 高等考試_三級_農業機械:農業機電與控制#70717
107年 · #70717
104年 - 104 高等考試_三級_農業機械:農業機電與控制#42649
104年 · #42649
103年 - 103 高等考試_三級_農業機械:農業機電與控制#43144
103年 · #43144
100年 - 100 高等考試_三級_農業機械:農業機電與控制#45671
100年 · #45671