題組內容
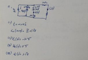
二、電路圖如圖二所示,已知
步階 函數
:(每小題 5 分,共 20 分)
(一)請計算電流值 iL(−0.05 s) 。
詳解 (共 3 筆)
詳解

詳解

詳解
還好這裡有3位摩友的想法和答案跟我一樣XDDD
市面上解題書計算這個子題的答案好像都不是正確的......