題組內容
四、某大型連鎖超商共有100家分店。管理當局想了解員工對目前採行輪休制度的支持度,從100家分店中以簡單隨機抽樣法抽出15家分店,且對抽出之15家分店的所有員工進行調查,得資料如下表:

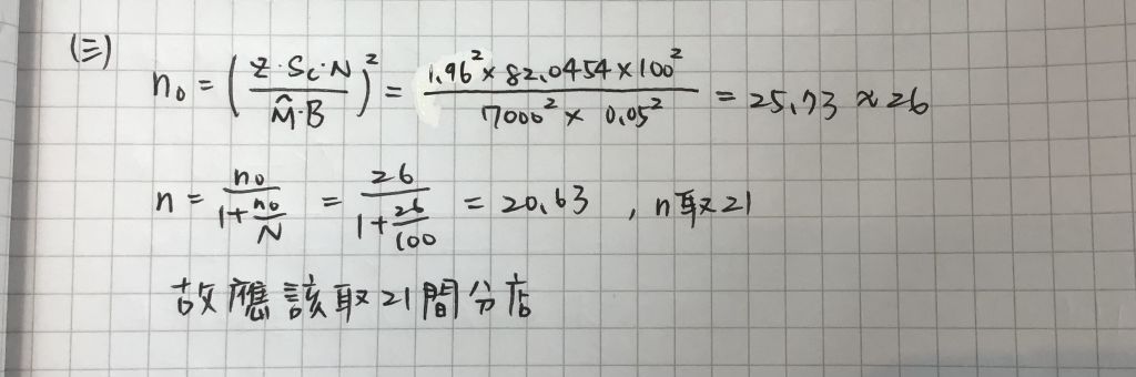
(三)該連鎖超商的員工福利委員會認為目前的輪休制度對員工不公平,遂 提出了修正版本。現欲估計員工支持此修正版的輪休制度的比例,應 該抽取多少家分店進行調查,才能達到95%誤差界限為0.05的要求?
詳解 (共 1 筆)
詳解
