阿摩線上測驗
登入
首頁
>
分析化學(含儀器分析)
>
112年 - 112 關務特種考試_四等_化學工程:分析化學概要#113953
> 申論題
申論題
試卷:112年 - 112 關務特種考試_四等_化學工程:分析化學概要#113953
科目:分析化學(含儀器分析)
年份:112年
排序:0
申論題資訊
試卷:
112年 - 112 關務特種考試_四等_化學工程:分析化學概要#113953
科目:
分析化學(含儀器分析)
年份:
112年
排序:
0
題組內容
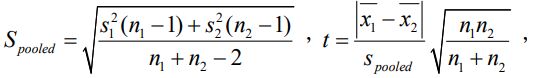
一、A 君進行 EDTA 滴定某金屬離子溶液,分別選擇兩種指示劑(焦兒茶酚紫和二甲酚橙)方法進行重複測定後得到以下結果:
焦兒茶酚紫指示劑:2.034, 2.048, 2.000, 2.055, 2.018, 2.022 mM
二甲酚橙指示劑:2.044, 2.053, 2.061, 2.030, 2.049 mM
註:
95%信心度:t = 2.306(自由度 8);t = 2.262(自由度 9); t = 2.228(自由度 10)。
申論題內容
(二)兩種方法的標準差在 95%信賴水準時是否有顯著差異。(8 分)