題組內容
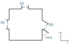
五、一流體密度為 1040 kg/m3、穩態流經圖中所示的水平放置的矩形水箱, 由三個固定管口接出,各管口截面分別為 A1=0.04 m2、A2=0.01 m2、 A3=0.06 m2,假設已知流速為V1=
分別代表 x, y方向之單位向量。
(二)因水平放置,所以不考慮重力,請求出該控制體積於水平方向之受力。 (20 分)
五、一流體密度為 1040 kg/m3、穩態流經圖中所示的水平放置的矩形水箱, 由三個固定管口接出,各管口截面分別為 A1=0.04 m2、A2=0.01 m2、 A3=0.06 m2,假設已知流速為V1=
分別代表 x, y方向之單位向量。
(二)因水平放置,所以不考慮重力,請求出該控制體積於水平方向之受力。 (20 分)