阿摩線上測驗
登入
首頁
>
有機化學
>
110年 - 110 調查特種考試_三等_化學鑑識組、醫學鑑識組:有機化學#103103
> 申論題
題組內容
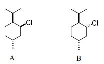
五、以下的化合物 A 和化合物 B 分別在進行消除反應中被加入鹼(NaOEt) 以後,
(二)畫出化合物 B 最穩定的椅狀結構(chair form)。
相關申論題
(二)寫出所獲得預期產物的反應機制。
#435200
(一)畫出化合物 A 最穩定的椅狀結構(chair form)。
#435201
(三)那一個化合物,A 或 B,在進行消除反應時只會形成一種最終產物? 寫出該最終產物。
#435203
(四)那一個化合物,A 或 B,在進行消除反應時會形成兩種最終化合物? 寫出其中的主要產物。
#435204
(一)加入氯化鈣在此反應中的目的為何?
#435205
(二)請分別敘述在紅外線(IR)光譜中,每一個所列舉的吸收值所代表的 是那一種官能基的吸收?
#435206
(三)在氫質子核磁共振(1H NMR)光譜中,加入 D2O 的目的為何?
#435207
(四)寫出化合物 A 的結構。
#435208
(一) A 與 B 彼此之間的關係是?
#435209
(二) C 與 D 彼此之間的關係是?
#435210
相關試卷
114年 - 114 公務升官等考試_薦任_化學工程:有機化學#133257
114年 · #133257
114年 - 114 調查特種考試_三等_化學鑑識組、醫學鑑識組:有機化學#129586
114年 · #129586
114年 - 114 一般警察特種考試_二等_刑事鑑識人員材料及化學物品鑑析組:有機化學#127790
114年 · #127790
114年 - 114 關務特種考試_三等_化學工程(選試英文):有機化學#126661
114年 · #126661
114年 - 114 關務特種考試_四等_化學工程(選試英文):有機化學概要#126655
114年 · #126655
113年 - 113 調查特種考試_三等_化學鑑識組、醫學鑑識組:有機化學#122084
113年 · #122084
113年 - 113 關務特種考試_三等_化學工程(選試英文):有機化學#119488
113年 · #119488
113年 - 113 關務特種考試_四等_化學工程(選試英文)、化學工程(選試日文):有機化學概要#119484
113年 · #119484
112年 - 112 地方政府特種考試_四等_化學工程:有機化學概要#118363
112年 · #118363
112年 - 112 地方政府特種考試_三等_化學工程:有機化學#118140
112年 · #118140