阿摩線上測驗 登入

申論題資訊

試卷:110年 - 110 調查特種考試_三等_化學鑑識組、醫學鑑識組:有機化學#103103
科目:有機化學
年份:110年
排序:0

題組內容

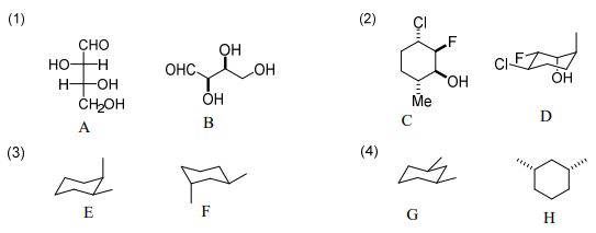
七、以下每一組的化合物中 , 決定彼此之間的關係是鏡像異構物 (enantiomer) 、非鏡像異構物(diastereomer) 、相同(identical) 、立體異構物(stereoisomer)或結構異構物(constitutional isomer 或稱構造異構物)。617f7ccbb52d1.jpg

申論題內容

(二) C 與 D 彼此之間的關係是?