題組內容
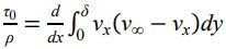
四、如圖三所示流體在平板上流動形成邊界層厚度(boundary layer)分析。選用 von Karman 積分式,
,描述邊界層厚度(δ) ,τ0為平板表面的剪應力,ρ為流體密度。
(二)若紊流(turbulent)邊界層區拖曳係數(drag coefficient, CD)表示成
為在 x = L 位置的 Reynolds number,試寫出紊流邊界層區內可能速度分布。(5 分)
四、如圖三所示流體在平板上流動形成邊界層厚度(boundary layer)分析。選用 von Karman 積分式,
,描述邊界層厚度(δ) ,τ0為平板表面的剪應力,ρ為流體密度。
(二)若紊流(turbulent)邊界層區拖曳係數(drag coefficient, CD)表示成
為在 x = L 位置的 Reynolds number,試寫出紊流邊界層區內可能速度分布。(5 分)