阿摩線上測驗
登入
首頁
>
交通統計與分析
>
104年 - 104 警察特種考試_三等_交通警察人員交通組:交通統計與分析#22528
> 申論題
題組內容
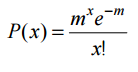
二、執法單位在某地執行「酒醉駕車」之取締勤務,每小時平均取締 5 件。
註:卜瓦松分配:
(二)該地出現酒醉駕車的間隔時間屬於何種分配型態?平均每隔多久出現一次?(10 分)
相關申論題
(一)請估計其乘載人數之平均值及標準差。(10 分)
#24038
(二)其平均乘載人數有 95%的機率不會超出什麼範圍?(10 分)
#24039
(三)調查時段的交通量為每小時 800 輛,請問此一專用道共運送多少人旅次?(5 分)
#24040
(一)酒醉駕車的出現機率經驗證符合卜瓦松分配(Poisson Distribution)。請問該地每 小時高於 2 件的機率為何?(10 分)
#24041
(三)該地點酒醉駕車的平均值與標準差各為多少?
#24043
(一)在α = 5%水準下,該一措施是否有「降低速率」的顯著效果?(15 分)
#24044
(二)在α = 5%水準下,該一措施是否達成降低至 60 公里/小時之期望目的?(10 分)
#24045
(二)請說明三個 t 值所代表的意義。(10 分)
#24047
(三)請解釋該模式變數間的因果關係。(10 分)
#24048
四、兩個變數之皮爾森相關係數(r)值=0.2。請詳述是否代表此兩個變數間無關係?另請說明可進行那些統計分析,以探討其關係。(25 分)
#543894
相關試卷
114年 - 114 警察特種考試_三等_交通警察人員交通組:交通統計與分析#127744
114年 · #127744
113年 - 113 警察特種考試_三等_交通警察人員交通組:交通統計與分析#120504
113年 · #120504
112年 - 112 地方政府特種考試_三等_交通技術:交通統計#118345
112年 · #118345
112年 - 112 地方政府特種考試_四等_交通技術:交通統計概要#118050
112年 · #118050
112年 - 112 普通考試_交通技術:交通統計概要#115677
112年 · #115677
112年 - 112 高等考試_三級_交通技術:交通統計#115470
112年 · #115470
112年 - 112 警察特種考試_三等_交通警察人員交通組:交通統計與分析#114915
112年 · #114915
111年 - 111 高等考試_三級_交通技術:交通統計#109477
111年 · #109477
111年 - 111 普通考試_交通技術:交通統計概要#109460
111年 · #109460
111年 - 111 警察特種考試_三等_交通警察人員交通組:交通統計與分析#108561
111年 · #108561