題組內容
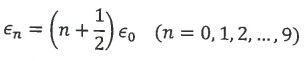
2. Consider a mode! in which the available energy levels are linearly spaced along the energy axis

where
is the energy of the n level and
is a constant.
The system contains ten particles. Consider three macrostates:
2. Consider a mode! in which the available energy levels are linearly spaced along the energy axis

where
is the energy of the n level and
is a constant.
The system contains ten particles. Consider three macrostates: