阿摩線上測驗
登入
首頁
>
研究所、轉學考(插大)-微積分
>
95年 - 95 東吳大學轉學生招生考試試題_經濟學系:微積分#118412
> 申論題
題組內容
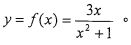
4. 設
(2) 利用微分估計 f(1.98) 的近似值。
相關申論題
(1)
#505582
(2)
#505583
(1)
#505584
(2)
#505585
(1) 計算區域 D 的積。
#505586
(2) 計算曲面 z=f(x,y)=xy+y2 之下,區域 D之上的固體體積。
#505587
(1) 求曲線 y=f(x) 在 x=2 處的切線方程式。
#505588
(1) 試寫出利潤函數 P(x)。
#505590
(2) 售出多少單位可獲得最大利潤,最大利潤為何,試說明之。
#505591
6. 考慮,其中 x>0。試利用這個函數說明 πe 與 eπ 那一個比較大?
#505592
相關試卷
114年 - 114 臺灣綜合大學系統_學士班轉學生考試試題:微積分A#137897
114年 · #137897
114年 - 114 臺灣綜合大學系統_學士班轉學生考試試題:微積分B#137819
114年 · #137819
114年 - 114 台灣聯合大學系統_學士班轉學生考試試題:微積分#137762
114年 · #137762
114年 - 114 台灣聯合大學系統_學士班轉學生考試試題:微積分#137761
114年 · #137761
114年 - 114 國立臺灣大學_轉學生招生考試_物理學系/土木工程學系/生物環境系統工程學系/生物機電工程學系:微積分(B)#137745
114年 · #137745
114年 - 114 國立臺灣大學_轉學生招生考試_數學系:微積分(A)#137744
114年 · #137744
113年 - 113 國立嘉義大學_轉學生招生考試試題_(全校):微積分#122986
113年 · #122986
112年 - 112 國立臺灣大學_碩士班招生考試題:微積分(D)#130254
112年 · #130254
112年 - 112 國立陽明交通大學_碩士班入學招生試題_統計學研究所﹕微積分與線性代數#130252
112年 · #130252
112年 - 112 國立嘉義大學_轉學生招生考試試題:微積分#123297
112年 · #123297