阿摩線上測驗
登入
首頁
>
研究所、轉學考(插大)◆控制系統
>
110年 - 110 國立臺灣大學_碩士班招生考試_機械工程研究所系統控制組:控制系統(A)#100776
> 申論題
題組內容
4.(30%) Consider Figure 3 with
(4) (5%) Design a first-order controller C(s) to assign all closed-loop poles at s=-2.
相關申論題
(1) (10%) Determine the characteristic equation of this system and the controller gains of Kp, Ki, Kv, such that the poles are located at -0.5±j0.5,-10.
#422085
(2) (10%) Determine the steady-state error with R=0 when the disturbance is (a) a unit step, (b) ramp function d(t)=3t, (c) parabolic function d(t)=t2/2.
#422086
(3) (10%) Neglect the real pole. Assume D=0 and R(t) is a unit step. Sketch the step response of this system.
#422087
(1) (10%) Draw the root-locus as K varies from 0 to infinity. Find asymptote, the value of K where the root loci cross the imaginary axis, the values of K at the break-away point, break-in point, and the closed-loop poles for these K values.
#422088
(2) (10%) When the system is stable, find the range of K for the system is underdamped, If the design specification requires the damping ratio for the dominant closed-loop poles is equal to 0.707, determine the value of K and the closed-loop poles for this K value.
#422089
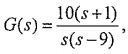
(1) (5%) Sketch the Bode plots of L(s)=G(s)C(s).
#422090
(2) (5%) Sketch the Nyquist plot of L(s) = G(s)C(s).
#422091
(3) (5%) Calculate the gain margin of the system.
#422092
(4) (5%) Calculate the phase margin of the system. C(s) G(s)
#422093
(I) (5%) Suppose, sketch the root-loci of the closed-loop system as K :0 → ∞ . Mark the important values of K on the plot.
#422094
相關試卷
110年 - 110 國立清華大學碩士班考試入學試題_動力機械工程學系/乙組(電機控制組):控制系統#105247
110年 · #105247
110年 - 110台灣聯合大學系統_碩士班招生考試_電機類:控制系統#104974
110年 · #104974
110年 - 110 國立臺灣大學_碩士班招生考試_工程科學及海洋工程學研究所丙組:控制系統(B)#100939
110年 · #100939
110年 - 110 國立臺灣大學_碩士班招生考試_機械工程研究所系統控制組:控制系統(A)#100776
110年 · #100776