題組內容
3.Let .fo(x) be a continuous function on [0, 2πt]. Define a sequence of functions on [0,2πt] by
.
(a) For every x € [0,2π], determine
.
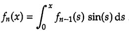
3.Let .fo(x) be a continuous function on [0, 2πt]. Define a sequence of functions on [0,2πt] by
.
(a) For every x € [0,2π], determine
.