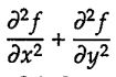
5. Let U be the region in R² defined by r ≤1+ cos in polar coordinate. Let y be the boundary of U; namely, y is given by r = 1 + cos 0 in polar coordinate. Does there exist a second continuously differentiable function f(x,y) on such that

= 2x+ 3y² at every (x, y) ∈ U,and 

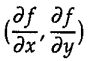
= (4x2-3y²+x,y³ –6y) atevery (x,y) ∈y?

Ifyour answer is YES, construct such a function. If your answer is NO, give a proof.