題組內容
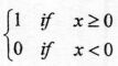
5. (20%) Let function H(x) =
be the Heaviside function. We define the Pulse function as Pa,b (x) = H(x-a)-H(x-b), where a<0<b
(a) (8%) Please sketch the graph of the pulse function.
5. (20%) Let function H(x) =
be the Heaviside function. We define the Pulse function as Pa,b (x) = H(x-a)-H(x-b), where a<0<b
(a) (8%) Please sketch the graph of the pulse function.