阿摩線上測驗
登入
首頁
>
研究所、轉學考(插大)-微積分
>
102年 - 102 國立暨南國際大學_轉學生入學考試試題_資管系三、財經系三:微積分#124611
> 申論題
題組內容
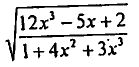
2. Let f(x) =
(a) Evaluate the limit of the
f(x)_______.
相關申論題
(a) y cos x2dxdy =________
#530073
(b)dxdy =_________.
#530074
(c)dx =_________.
#530075
(d)dx =______.
#530076
(b) Find f'(x) =_____.
#530078
(a) Let u = g(x) = 4 + 3x and y = f(u) = √u. Then = ______.
#530079
(b) Let w = ln. Find the differential dw of w.
#530080
(a) =__________.
#530081
(b) - ... =___________.
#530082
(a) Find relative maximum = _____ of f.
#530083
相關試卷
114年 - 114 臺灣綜合大學系統_學士班轉學生考試試題:微積分A#137897
114年 · #137897
114年 - 114 臺灣綜合大學系統_學士班轉學生考試試題:微積分B#137819
114年 · #137819
114年 - 114 台灣聯合大學系統_學士班轉學生考試試題:微積分#137762
114年 · #137762
114年 - 114 台灣聯合大學系統_學士班轉學生考試試題:微積分#137761
114年 · #137761
114年 - 114 國立臺灣大學_轉學生招生考試_物理學系/土木工程學系/生物環境系統工程學系/生物機電工程學系:微積分(B)#137745
114年 · #137745
114年 - 114 國立臺灣大學_轉學生招生考試_數學系:微積分(A)#137744
114年 · #137744
113年 - 113 國立嘉義大學_轉學生招生考試試題_(全校):微積分#122986
113年 · #122986
112年 - 112 國立臺灣大學_碩士班招生考試題:微積分(D)#130254
112年 · #130254
112年 - 112 國立陽明交通大學_碩士班入學招生試題_統計學研究所﹕微積分與線性代數#130252
112年 · #130252
112年 - 112 國立嘉義大學_轉學生招生考試試題:微積分#123297
112年 · #123297