阿摩線上測驗
登入
首頁
>
研究所、轉學考(插大)-微積分
>
102年 - 102 國立暨南國際大學_轉學生入學考試試題_資管系三、財經系三:微積分#124611
> 申論題
申論題
試卷:102年 - 102 國立暨南國際大學_轉學生入學考試試題_資管系三、財經系三:微積分#124611
科目:研究所、轉學考(插大)-微積分
年份:102年
排序:0
申論題資訊
試卷:
102年 - 102 國立暨南國際大學_轉學生入學考試試題_資管系三、財經系三:微積分#124611
科目:
研究所、轉學考(插大)-微積分
年份:
102年
排序:
0
題組內容
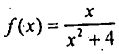
5. Determine the relative extrema of the function
申論題內容
(a) Find relative maximum = _____ of f.