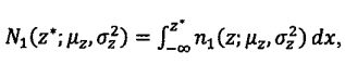
1. (25%) If z follows a normal distribution, i.e., z~ND
, its probability density and cumulative distribution functions are
and

respectively. If
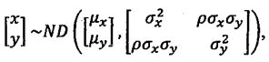
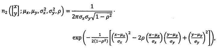
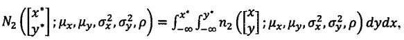
follows a bivariate normal distribution, ie,, 
the corresponding probability density and cumulative distribution functions are
and
respectively.
(b) (15%) Evaluate the expectation E[exp(x + y)I{x ≤ 0}], where I{A} is an indicator function returning 1 (0) ifthe condition A is true (false), and express the calculation result a +bn1(c;0,1)+dN1(e;0,1)+fn1(g:0,1)n1(h;0,1)+ in1(j;0,1)N1(k;0,1)+ IN2
.What are a, b, c, d, e, f, g, h, i, j, k, I, m, and n?