阿摩線上測驗
登入
首頁
>
研究所、轉學考(插大)◆工程數學
>
110年 - 110 國立清華大學碩士班考試入學試題_工程與系統科學系/乙組:工程數學#105230
>
題組內容
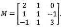
5. Consider the matrix M =
(b) Estimate the eigenvalues and eigenvectors of M.
其他申論題
2. Solve the system of differential equations for x(t) and y(t).
#446058
3. Find the scries solution of the following differential equation about x = 0.You have to express the solution in the form of y(x) = C1y1(x)+ C2y2(x). To save time,you can only show the first five terms of yi(x) and y2(x).
#446059
4. Use the Laplace transform to solve the problem and obtain y(t).
#446060
(a) Find the determinant of M and obtain the inverse matrix .
#446061
7. (a) Apply the divergence theorem to evaluate , (Fㆍn)dS where and S is the surface of the region bounded by the cylinder: r ≤ 5, 0≤θ ≤2π, 0≤ z≤ 4.
#446063
(b) . Find ▽ X F. Evaluate , Fㆍdr where C is a counterclockwise circle x2 + y2 = 9 on the xy plane. [Formula] Divergence and curl in cylindrical coordinates:
#446064
8. (a) The Fourier integral representation of f(x) is f(x)=cos wx+ b(w) sin wx]dx. Find a(w) and b(w).
#446065
(b) Consider an infinite beam problem Elu'" + ku = f(x) with the loading f(x)given in (a). The deflection u can be solved and written as u(x)= cos wx + d(w) sin wx]dx. Find c(w) and d(w).
#446066
9. Solve the Dirichlet problem in polar coordinates: , 1≤r≤2, 0≤θ≤,wih u(r,0) =0, =0, u(1,θ) =0,u(2,θ)=10.
#446067
10.(a) Evaluate dz where C is the counterclockwise circle [z] = 4.
#446068