所屬科目:研究所、轉學考(插大)◆工程數學
(a)
(b)
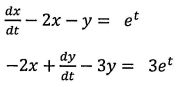
2. Solve the system of differential equations for x(t) and y(t).
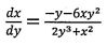
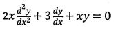
3. Find the scries solution of the following differential equation about x = 0.You have to express the solution in the form of y(x) = C1y1(x)+ C2y2(x). To save time,you can only show the first five terms of yi(x) and y2(x).
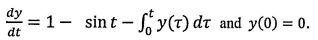
4. Use the Laplace transform to solve the problem and obtain y(t).
(a) Find the determinant of M and obtain the inverse matrix .
(b) Let I(a) = , (a≥0). Find I'(a). It is evident that I(0) = 0. Solve I(a).
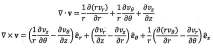
7. (a) Apply the divergence theorem to evaluate , (Fㆍn)dS where and S is the surface of the region bounded by the cylinder: r ≤ 5, 0≤θ ≤2π, 0≤ z≤ 4.
(b) . Find ▽ X F. Evaluate , Fㆍdr where C is a counterclockwise circle x2 + y2 = 9 on the xy plane.
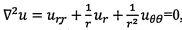
[Formula] Divergence and curl in cylindrical coordinates:
8. (a)
The Fourier integral representation of f(x) is f(x)=cos wx+ b(w) sin wx]dx. Find a(w) and b(w).
(b) Consider an infinite beam problem Elu'" + ku = f(x) with the loading f(x)given in (a). The deflection u can be solved and written as u(x)= cos wx + d(w) sin wx]dx. Find c(w) and d(w).
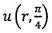
9. Solve the Dirichlet problem in polar coordinates: , 1≤r≤2, 0≤θ≤,wih u(r,0) =0, =0, u(1,θ) =0,u(2,θ)=10.
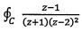
10.(a) Evaluate dz where C is the counterclockwise circle [z] = 4.
(b) Evaluate the integral dx by residue theorem.