阿摩線上測驗
登入
首頁
>
流體力學
>
104年 - 104 高等考試_三級_環境工程:流體力學#28940
> 申論題
申論題
試卷:104年 - 104 高等考試_三級_環境工程:流體力學#28940
科目:流體力學
年份:104年
排序:0
申論題資訊
試卷:
104年 - 104 高等考試_三級_環境工程:流體力學#28940
科目:
流體力學
年份:
104年
排序:
0
題組內容
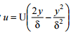
四、污水流經一片固定薄板,並在此薄板上產生二維不可壓縮流況的層流,邊界層如圖四所 示,其中
,當 y ≤ δ 且 δ = cx
, c 為常數。(每小題 10 分,共 20 分)
申論題內容
⑴假設薄板表面的流況存在不滑動(no-slip)條件,求邊界層中的速度分量 v (x, y),其 中 y ≤ δ。