阿摩線上測驗
登入
首頁
>
生物統計學
>
101年 - 101 原住民族特種考試_四等_衛生行政:生物統計學概要#32654
> 申論題
申論題
試卷:101年 - 101 原住民族特種考試_四等_衛生行政:生物統計學概要#32654
科目:生物統計學
年份:101年
排序:0
申論題資訊
試卷:
101年 - 101 原住民族特種考試_四等_衛生行政:生物統計學概要#32654
科目:
生物統計學
年份:
101年
排序:
0
題組內容
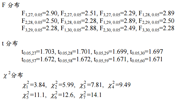
四、有一研究者想要了解兩個地區的男性成年人在血糖值的差異(α = 0.05),依據事前 的資料,認為 B 地的人血糖值高於 A 地的人,他隨機選取兩地各 30 人,測量其糖 化血色素(HbA1c,%),資料經過統計分析後,得以下結果:
請依據這些資料回答以下的問題:
申論題內容
⑵檢定的統計量(5 分)