阿摩線上測驗
登入
首頁
>
公職◆渠道水力學
>
102年 - 102-2 專技高考_水利工程技師:渠道水力學#25385
> 申論題
申論題
試卷:102年 - 102-2 專技高考_水利工程技師:渠道水力學#25385
科目:公職◆渠道水力學
年份:102年
排序:0
申論題資訊
試卷:
102年 - 102-2 專技高考_水利工程技師:渠道水力學#25385
科目:
公職◆渠道水力學
年份:
102年
排序:
0
題組內容
一、水流在一水平矩形渠道的突擴處發生水躍現象,水躍前、後之渠道寬度分別為 b, B
,水躍前、後的共軛水深分別為 y
1
, y
2
(
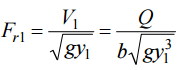
)。已知上 游流量 Q 及水躍前之福祿數(Froude No.)為
,g 為重力加速度。 假設回流區斷面 1 之水深均為 y
1
,並忽略底床阻抗力。
申論題內容
⑵當 F
r1
= 2時,求β = 0.5及β =1.0之η值各為何?(10 分)