阿摩線上測驗
登入
首頁
>
生物統計學
>
102年 - 102 高等考試_二級_生物多樣性:生物統計學研究#32653
> 申論題
申論題
試卷:102年 - 102 高等考試_二級_生物多樣性:生物統計學研究#32653
科目:生物統計學
年份:102年
排序:0
申論題資訊
試卷:
102年 - 102 高等考試_二級_生物多樣性:生物統計學研究#32653
科目:
生物統計學
年份:
102年
排序:
0
題組內容
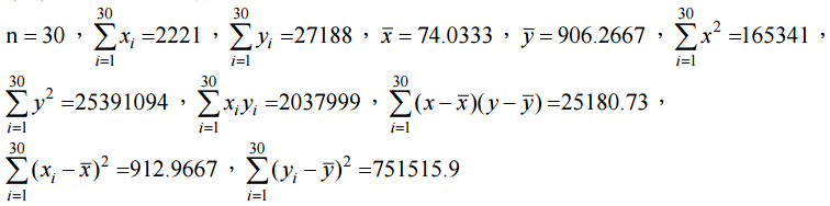
五、某一研究想要探討大赤鼯鼠體長(Head and Body length,x,單位:公分)與體重 (y,單位:公克)的關係,以逢機方式在臺灣山區收集了 30 隻大赤鼯鼠,經過簡 單計算後,得以下資料:
申論題內容
⑵計算以體長預測體重之直線迴歸方程式。(6 分)