阿摩線上測驗
登入
首頁
>
建築結構系統
>
98年 - 98 公務升官等考試_薦任_建築工程:建築結構系統#34159
> 申論題
題組內容
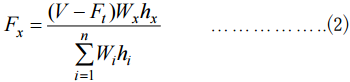
二、本國建築物耐震技術規範中對於最小設計水平總橫力的規定,主要以下式計算:
此力之豎向分配係以下式行之:
⑶公式(1)內的S
aD
表示設計水平譜加速度係數,請以 200 字以內的短文及繪圖,解釋 為何S
aD
會與建築物基本震動週期有關。(15 分)
相關申論題
一、某低窪地區要興建一棟 5 層樓的市民活動中心,由於當地每逢豪雨就會有淹水的機 會,而且經常會達到 1 公尺深,因此本中心的設計希望能夠成為周圍居民的水災緊 急收容所。基地為邊長 50 米正方形的平面,北面及東面各為 15 米道路;西面及南 面各有鄰房。試規劃此活動中心的合理結構系統,使其能滿足水災及地震的考量(請 說明如何達成),並且除了平時作為活動中心外,上述天災發生時,也可以作為臨時 收容所(請說明要如何滿足兩者的需求)。請繪出平立面圖說明之。(30 分)
#86137
⑴請問 I 分為幾類,其目的為何?(10 分)
#86138
⑵請以 200 字以內的短文及繪圖,解釋(2)式所代表的豎向分配特性。(15 分)
#86139
⑴試繪出下圖所示結構體的剪力圖及彎矩圖。(15 分)
#86141
⑵若 AB 及 BC 梁上方均有 RC 樓板提供極大的側向支撐,試評估當外力以等比例 不斷增加時,若梁會因彎矩導致梁翼挫曲破壞,則可能會在何處發生?試述你的 理由。(15 分)
#86142
(四)連續壁工法中使用穩定液之作用為何?【9 分】
#563592
(三)連續壁工法之基本施工步驟為何?【6 分】
#563591
(二)連續壁是建築物主要結構的一部分嗎?【2 分】
#563590
(一)使用連續壁作為擋土設施,存在的兩種目的為何?【8 分】
#563589
(二)輕隔間牆之特性為何?【10 分】
#563588
相關試卷
114年 - 114 專技高考_建築師:建築結構#133658
114年 · #133658
114年 - 114 公務升官等考試_薦任_建築工程:建築結構系統#133157
114年 · #133157
113年 - 113 臺灣菸酒股份有限公司_評價職位人員轉任職員甄試試題_建築工程(北一區)_專業科目 1:建築結構系統、建築構造施工#137380
113年 · #137380
113年 - 113-2 國營臺灣鐵路股份有限公司_從業人員甄試試題_第9階-技術員-建築工程:建築結構系統概要#137152
113年 · #137152
113年 - 113-2 國營臺灣鐵路股份有限公司_從業人員甄試_第8階-助理工程師-建築工程:建築結構系統#137128
113年 · #137128
113年 - 113 國營臺灣鐵路股份有限公司_從業人員甄試_第 8 階-助理工程師-建築工程:建築結構系統#137101
113年 · #137101
113年 - 113 專技高考_建築師:建築結構#123947
113年 · #123947
112年 - 112 臺灣菸酒股份有限公司_評價職位人員轉任職員甄試試題_從業職員_建築(土木)工程_專業科目 1:建築結構系統、建築構造施工#137423
112年 · #137423
112年 - 112 地方政府特種考試_三等_建築工程:建築結構系統#118181
112年 · #118181
112年 - 112 專技高考_建築師:建築結構#117513
112年 · #117513