阿摩線上測驗
登入
首頁
>
輸配電學
>
98年 - 098年地方4等_電力工程#35568
> 申論題
題組內容
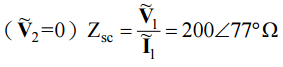
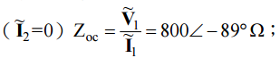
四、某長程輸電線路(線路長度 l>150miles)經由(a)開路(open circuit)(b)短路(short circuit)試驗得到下列結果:
(a)開路試驗
(b)短路試驗
。
試求:
【題組】
⑴特性阻抗Z
c
(characteristic impedance)。(10 分)
相關申論題
⑴試求等效電路的標么電抗X1、X2、X3(以 20MVA及一次側端電壓 66kV為基準值 )。(15 分)
#95659
⑵若將 12MW、13.2kV 及 5MW、2.3kV 兩純電阻性負載分別接至變壓器的二次側 及三次側,試繪標么阻抗圖並載明各標么阻抗(以 20MVA 及一次側端電壓 66kV 為基準值)。(10 分)
#95660
【題組】⑵ γ l。[γ 為傳播常數(propagation constant)]。(15 分)
#95662
(三)保護系統的轉換器一般為那兩種?其作用為何?(10 分)
#560986
(二)保護系統有三個次系統,除了轉換器外還有那兩個次系統?(10 分)
#560985
(一)電暈如何形成及現象?(5 分)
#560984
(三)匯流排 2 供給的虛功率?(10 分)
#560983
(二)匯流排 1 供給的實功率?(10 分)
#560982
(一)由匯流排 1 流向匯流排 2 的電流 I 之大小及相角為何?(5 分)
#560981
(三)實際之次暫態故障電流多少安培?(10 分)
#560980
相關試卷
114年 - 114 地方政府公務特種考試_四等_電力工程:輸配電學概要#134797
114年 · #134797
114年 - 114 普通考試_電力工程:輸配電學概要#128759
114年 · #128759
113年 - 113 地方政府公務特種考試_四等_電力工程:輸配電學概要#124495
113年 · #124495
113年 - 113 普通考試_電力工程:輸配電學概要#121395
113年 · #121395
112年 - 112 地方政府特種考試_四等_電力工程:輸配電學概要#118361
112年 · #118361
112年 - 112 普通考試_電力工程:輸配電學概要#115762
112年 · #115762
112年 - 112 鐵路特種考試_員級_電力工程:輸配電學概要#114947
112年 · #114947
111年 - 111 地方政府特種考試_四等_電力工程:輸配電學概要#112369
111年 · #112369
111年 - 111 中華郵政股份有限公司_職階人員資產營運及工程類科甄試_專業職一-電子工程:輸配電學概要#111690
111年 · #111690
111年 - 111 中華郵政股份有限公司_職階人員資產營運及工程類科甄試試題_專業職(一)/電力工程:輸配電學概要#111521
111年 · #111521