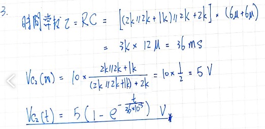
三、如圖三所示電路,其中 V1 = 10 V,R1 = R2 = R3 = R5 = 2 k Ω ,R4 = 1 k Ω , C1 = C2 = 6 µF,假設
,求所有時間為正(t > 0)時電容 器 C2 之電壓變化
=?(V)(25 分) 
詳解 (共 2 筆)
詳解

詳解
電路左半邊 R1~R4總合約1K
右半邊R5=2K
因電容器視為開路 總電阻為1+2=3K
時間常數=RC=6u*3k=18ms
5個常數後之飽和值VC1=VC2=6.67V
第1個時間常數 電容電壓=0.632V = 0.632*6.67V= 4.215V
第2個時間常數 電容電壓=0.867V = 0.867*6.67V= 5.782V
第3個時間常數 電容電壓=0.95V =0.95*6.67V =6.337V
4跟5幾乎一樣