阿摩線上測驗
登入
首頁
>
電力系統與控制系統
>
110年 - 110 中華郵政股份有限公司_職階人員甄試試題_營運職/電機工程:電力系統與控制系統#106538
> 申論題
題組內容
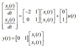
第三題: 考慮一個二階的受控系統狀態變數方程式如下:
其中x
1
(t),x
2
(t)為系統狀態變數、y(t)為輸出、u(t)控制輸入。
(三)請求此受控系統是否為可觀察(observable)的系統。【5分】
相關申論題
第一題: 已知一中程輸電線等效電路如【圖一】所示,其送電端與受電端關係為 ,請求中程輸電線的A、B、C、D參數值。【25分】
#453734
第二題: 如【圖二】所示,系統發生兩線碰觸故障,已知故障點系統零序阻抗=j0.1pu,正序阻抗=j0.1pu,負序阻抗=j0.1pu,接觸阻抗=j0.2pu,請求故障電流。【25分】
#453735
(一)請求此系統之轉移函數(transfer function)G(s)=Y(s)/U(s),其中Y(s)和U(s)各為 y(t)和u(t)的拉普拉氏(Laplace)轉換。【5分】
#453736
(二)請求此受控系統的特徵值(eigenvalues),並依特徵值特性說明其是否為穩定系統。 【5分】
#453737
(四)定義輸出回授控制律為u(t)=ky(t),其中k為待求之常數值,請求使閉迴路系統穩定時k的範圍。【10分】
#453739
(一)請求閉迴路轉移函數G(s)=Y(s)/R(s)。【5分】
#453740
(二)請使用魯斯定理(Routh’scriterion),求p與z需符合何種條件使得此閉迴路系統 為穩定系統。【10分】
#453741
(三)若此閉迴路系統為穩定系統且輸入R(s)為單位步階函數時,求p與z需符合何種 條件使得此閉迴路系統輸出之步階誤差為常數值。【10分】
#453742
⑸可以消除穩定控制系統之穩態誤差的控制器是微分控制器還是積分控制器? 【10 分】
#370084
⑷某單位負回授控制系統,其開路轉移函數為 ,則其速度誤差常數 Ku 為何?【10 分】
#370083
相關試卷
110年 - 110 中華郵政股份有限公司_職階人員甄試試題_營運職/電機工程:電力系統與控制系統#106538
110年 · #106538
107年 - 107中華郵政專業科目(一):電力系統與控制系統 #68271
107年 · #68271
102年 - 102 桃園國際機場股份有限公司_從業人員甄試_工程 / 助理工程師-機電、技術員-機電:電力系統與控制系統#90367
102年 · #90367