題組內容
二、申論題:(視答題內容部分給分)58%
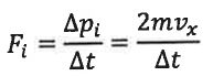
7. 在推導氣體動力論中,單一分子對器壁的作用力
若學生提問:「為什麼Δt不是代入極短的「分子撞擊器壁時間」,而要用「分子來回一次的時間(2L/vₓ)」來計算「平均力」? 請針對這個提問,設計約30分鐘的教學,並依序回答以下問題:(8%)
(1)此教學明確的學習目標(學生將理解什麼?)
二、申論題:(視答題內容部分給分)58%
7. 在推導氣體動力論中,單一分子對器壁的作用力
若學生提問:「為什麼Δt不是代入極短的「分子撞擊器壁時間」,而要用「分子來回一次的時間(2L/vₓ)」來計算「平均力」? 請針對這個提問,設計約30分鐘的教學,並依序回答以下問題:(8%)
(1)此教學明確的學習目標(學生將理解什麼?)