題組內容

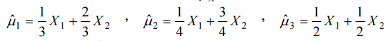
三、設 ( X 1 , X 2 ) 為抽自常態母體 N( µ X ,σ2 X = 1)之一組樣本大小為 2 的隨機樣本,若有下 2 列三個有關此常態母體平均數 µ  X的估計式  試問:(20 分)

⑵三個母體平均數 µ X 的估計式中那一個估計式最具估計效率?