阿摩線上測驗
登入
首頁
>
控制系統
>
102年 - 102 高等考試_二級_電力工程:控制系統#44013
>
題組內容
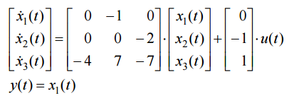
一、有一動態系統若採狀態空間描述法,其表示式如下:
其中輸入為 u (t ) ,輸出為 y (t ) ,狀態變數為 x
1
(t ) 、 x
2
(t ) 與 x
3
(t ) ,則:
⑵此系統之脈衝響應(impulse response)為何?(10 分)
其他申論題
二、甲係檳榔攤業者,某晚結束營業整理收銀機時,發現兩張千元鈔、五張百元鈔為偽 鈔,為避免損失,擬利用顧客找錢或換鈔時趁機使用。隔日,錢幣蒐藏愛好者乙正 巧到甲的檳榔攤購買飲料,在交付千元鈔票付款後,甲即將五張百元偽鈔混入找錢 予乙。乙收取後,發現有五張百元偽鈔,立即向甲反應,本擬要求換回真鈔,惟因 乙感覺該批偽鈔製作精美,有意珍藏玩賞,遂當場和甲協商,願用五百元真鈔兌換 甲手邊全部偽鈔;甲則認為乙恐係欲將偽鈔使用於他處,但為減少自己損失,遂予 應允。試問:甲、乙之刑責各為如何?(25 分)
#143473
三、有吸毒前科之甲男,因女友 A 家逢巨變,需錢孔急,遂透過管道以低價購入海洛因 一批,經自行分裝後,打算高價變現。在連絡有意購買供自己施用之乙後,雙方約 好時間、地點及到時當場交貨付款;惟因警方得獲情資,事先埋伏,在二人未及交 易時,當場將二人逮捕。試問甲、乙之刑責如何?(25 分)
#143474
四、甲為幫派分子,專以替人討債收取報酬營生。因 A 積欠乙公司新臺幣 100 萬元屢催 不還,乙公司乃委託甲催收。甲遂出面威脅 A 必須在 10 天內還錢,否則將對 A 不 利;惟 10 日後,A 仍未還錢。甲大怒下,通知 A 將隨時開槍取其性命。A 甚為擔 心,遂以自己外型訂製極似真人的充氣娃娃,放置於客廳靠窗處。某夜,甲果真潛 入 A 宅,誤以充氣娃娃為 A,遂朝其射擊一槍後,逃離現場。試問甲之刑責如何? (25 分)
#143475
⑴此系統之轉移函數(transfer function)為何?(15 分)
#143476
⑴當系統穩定時,K 的範圍為何?(10 分)
#143478
⑵畫出 K ≥ 0 時之根值軌跡圖(root locus)。(15 分)
#143479
⑴已知此系統具有一特徵根 − 0.25 ,求 a = ?(5 分)
#143480
⑵此系統是否為一穩定系統?(5 分)
#143481
⑶此系統之輸出 y[k ] 為何?(15 分)
#143482
⑴當 C ( s ) = K p 時,為滿足 │e( ∞) │≤ 1 ,求 K p 的最小值為何?(10 分)
#143483