阿摩線上測驗
登入
首頁
>
熱物理
>
104年 - 104 公務升官等考試_薦任_物理:熱物理#41301
> 申論題
題組內容
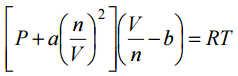
四、理想氣體方程式 PV = nRT ,經過修正後可以得到凡得瓦氣體方程式:
= RT ,其中 a, b 皆為常數。
⑵請詳述凡得瓦氣體方程式在物理學的發展上之重要性。 8 分) (
相關申論題
二、請證明理想氣體在絕熱過程中滿足方程式: PV γ = 常數 ,其中 P 為氣體壓力,V 為 氣體體積, γ = C P / CV 。( 20 分)
#128116
⑴若整個加熱過程中壓力維持固定 請求出此氣體初態的內能與末態的內能 (10 分) , 。
#128117
⑵承⑴,在整個過程中此氣體作了多少功?(4 分)
#128118
⑶若整個加熱過程中體積維持固定,請求出此氣體末態的內能。 3 分) (
#128119
⑷承⑶,在整個過程中此氣體作了多少功?(3 分)
#128120
⑴請詳述其修正理由。 7 分) (
#128121
⑴請詳述熱力學第二定律的 Kelvin 表述。 5 分) (
#128123
⑵請詳述熱力學第二定律的 Clausius 表述。 5 分) (
#128124
⑶證明⑴與⑵兩種表述為等價。 10 分) (
#128125
⑴請寫下 Ehrenfest 對於 n 階相變的定義。 5 分) (
#128126
相關試卷
114年 - 114 公務升官等考試_薦任_物理:熱物理#133269
114年 · #133269
112年 - 112 公務升官等考試_薦任_物理:熱物理#117336
112年 · #117336
110年 - 110 公務升官等考試_薦任_物理:熱物理#103667
110年 · #103667
108年 - 108 公務升官等考試_簡任_物理:熱物理研究#80510
108年 · #80510
108年 - 108 公務升官等考試_薦任_物理:熱物理#80453
108年 · #80453
106年 - 106 公務升官等考試_薦任_物理:熱物理#66153
106年 · #66153
104年 - 104 公務升官等考試_薦任_物理:熱物理#41301
104年 · #41301
102年 - 102 公務升官等考試_簡任_物理:熱物理研究#43810
102年 · #43810
102年 - 102 公務升官等考試_薦任_物理:熱物理#43808
102年 · #43808
100年 - 100 公務升官等考試_薦任_物理:熱物理#45303
100年 · #45303