阿摩線上測驗
登入
首頁
>
統計學
>
98年 - 98 高等考試_三級_統計、經建行政、農業行政、交通技術:統計學#48153
> 申論題
申論題
試卷:98年 - 98 高等考試_三級_統計、經建行政、農業行政、交通技術:統計學#48153
科目:統計學
年份:98年
排序:0
申論題資訊
試卷:
98年 - 98 高等考試_三級_統計、經建行政、農業行政、交通技術:統計學#48153
科目:
統計學
年份:
98年
排序:
0
題組內容
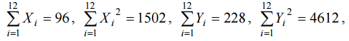
四、已知:
,
,迴歸模型為 y
i
= β
0
+ β
1
x
i
+ ε
i
時,
申論題內容
⑶在 0.05 的顯著水準下,檢定迴歸線是否通過原點?(6 分)